I-Tech HD Level Max Guide
Technical Support Guide
Table of Contents
Brand:
- Crown
Models:
- I-Tech HD
Overview:
The I-Tech HD LevelMAX™ Limiter Suite features three types of limiting:
- Peak
- RMS
- Transducer Thermal
And two modes of operation:
- Auto
- Advanced
The standard I-Tech HD LevelMAX Limiter panel (Advanced Mode) is shown below:

LevelMAX has been designed to limit accurately to the specified voltage thresholds. The addition of a thermal limiter allows thresholds for the faster-acting RMS and peak limiters to be set higher, providing more output and maintaining dynamic range before the onset of limiting, while protecting the long term integrity of the transducers.
In Auto or Advanced modes, turning on the LevelMAX Limiter Suite will enable all three limiters: Peak, RMS and Thermal.
The three LevelMAX limiter types and operating modes are outlined in the following sections.
1.0 LevelMAX Peak Limiter
LevelMAX Peak limiting instantaneously limits the output voltage to not exceed the defined peak threshold voltage.
1.1 Peak Limiter Threshold (Vpk)
Vpk = SqRt(2)*VRMS
In Auto mode, the peak limiter threshold value is automatically determined from the defined RMS threshold and the low pass frequency defined in the XOVER block. For a low pass frequency less than 100 Hz, the RMS to peak threshold ratio is 6 dB. From 100 Hz to 400 Hz, the RMS to peak ratio increases from 6 dB to 9 dB. Above 400 Hz, the ratio remains at 9 dB.
For Advanced mode, the peak limiter threshold can be set by the user.
1.2 Peak Limiter Attack (sec)
The peak limiter attack time is instantaneous and cannot be modified. The output voltage is limited to the value defined by the peak limiter threshold (see 1.1).
1.3 Peak Limiter Release (sec)
In Auto mode, the peak limiter release time is determined by the high pass frequency defined in the XOVER block.
For Advanced mode, the peak limiter release time can be set by the user.
1.4 Peak Limiter Look-Ahead
Peak Limiter Look-Ahead inserts a delay into the peak limiter signal path in order to 'look' at the input signal and anticipate when the peak threshold will be exceeded. If it detects that the threshold will be exceeded, the signal is gradually reduced prior to reaching the threshold, while still limiting to the correct peak voltage. This approach eliminates a sharp signal discontinuity which, in turn, could create audible distortion.
The peak limiter look-ahead value is 0.5ms. This value was determined to be subjectively acceptable for most frequency ranges while not adversely compromising overall latency. Overall latency remains constant regardless of whether the LevelMAX Limiter suite is enabled (ON) or bypassed (OFF).
2.0 LevelMAX RMS Limiter
LevelMAX RMS limiting accurately limits the output signal to the specified RMS threshold voltage.
2.1 RMS Threshold (VRMS)
The RMS Threshold should be set by the user to correspond to the short term (2 hour) power handling of the transducer or system.
Refer to the appropriate JBL Specification Sheet, Technical Manual or Product Manual for two hour power ratings. To calculate the RMS Threshold in VRMS, use the following equation:
RMSThreshold (Vrms) = SqRt (AES Power (Wrms, 2 hour) x Minimum Impedance (ohms)) where AES Power (Wrms, 2 hour) is the free air component power rating.
If minimum impedance data is unavailable, use nominal impedance. If 2 hour AES power ratings are unavailable, use 2 hour IEC power ratings. For most applications, it is recommended to operate LevelMAX limiters in Auto mode so that peak thresholds are automatically calculated based on the RMS threshold and selected LP frequency (see 1.1).
2.2 RMS Attack Time
The RMS attack time is set automatically in Auto or Advanced modes and is based on the peak limiter release time. The RMS attack time has been designed to smoothly transition from peak to RMS limiting while minimizing audible limiter anomalies.
2.3 RMS Release Time
For Auto mode, the RMS release time is determined based on the high pass frequency that is defined in the XOVER block.
For Advanced mode, the RMS release time can be set by the user.
2.4 RMS Detector Time
The RMS Detector Time is determined based on the high and low pass frequencies defined in the XOVER block and is not user-adjustable.
3.0 LevelMAX Transducer Thermal Limiter
LevelMAX Transducer Thermal limiting is designed to protect transducers from long term thermal damage by gradually adjusting the RMS threshold until the target long term thermal threshold voltage has been reached. The thermal limiter functions only when the RMS limiter is enabled and when the thermal voltage threshold is lower than the RMS threshold. On the main limiter panel, the thermal protection LED turns on once the thermal limiter is 0.75 dB into limit.
3.1. Thermal Voltage (VRMS)
The thermal voltage threshold should be set to correspond to the long term (100 hour) power handling of the transducer or system. Refer to the appropriate JBL Specification Sheet, Technical Manual or Product Manual for 100-hour power ratings. To calculate the Thermal Voltage Threshold in VRMS, use the following equation:
Thermal Threshold (Vrms) = SqRt(Power (Wrms, 100 hour) x Nominal Impedance (ohms)) where Power (Wrms, 100 hour) is the 100 hour power rating.
If 100 hour power handling data is unavailable, set 100 hour power rating ≈ 0.8 x 2 hour power rating.
3.2 Thermal Response Time(s)
The thermal response time is the amount of time the average RMS signal is above the thermal threshold voltage before limiting begins. Once the threshold has been exceeded for the amount of time defined by the thermal response time, the RMS threshold is lowered until the target thermal voltage has been reached. The thermal response time is not the time it takes to reach the target voltage, although the longer the thermal response time, the longer it takes to reach the target voltage. It is also dependent on the amount of gain reduction and the ratio between RMS and thermal thresholds.
Thermal response time is transducer-dependent and should be based on the initial temperature rise of the transducer voice coil to protect it from thermal overload. If detailed transducer data is unavailable, the Thermal Response Time should be left at the default value of 10 sec.
4.0 LevelMAX Parameters for I-Tech HD VerTec V4 device files
For I-Tech HD VerTec V4 device files, LevelMAX parameters are based on the automatic calculation of the values outlined in the previous sections and are set to Manual (JBL OEM Factory Locked) mode to reduce the potential for accidental modification of key parameters. Thermal limiter response times were determined by measuring the initial temperature rise for each transducer. Taking 63% of the time taken to the projected temperature rise to 200ºC was used to determine the 'time constant' of the voice coil. The value entered into the thermal time constant was ½ of that value for smoothest transition from RMS to thermal limiting. HF units were set to a slightly longer thermal time constant, due to their initial low operating temperature, while their long term voltage needs to be limited to the 100 hour threshold.
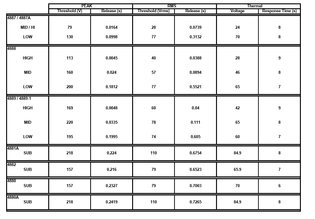
LevelMAX parameters for I-Tech HD VerTec V4 are summarized as follows:

Appendix A:
Table of parameters modified by each mode with LevelMAX Limiter Suite enabled



Appendix B:
LevelMAX Limiter panel in Auto and Advanced, offline and online.
Offline:


Online:


Table of Contents